Publications List
2026 2025 2024 2023 2022 2021 2020
2019 2018 2017 2016 2015 2014
2013 2012 2011 2010
2009 2008 2007 2006 2005 2004
2003 2002 2001 2000
1998
2026
Synthesis of Multisubstituted Diazatricyclic Molecules Via Intramolecular Cycloaddition of Cyclic Azomethine Ylides
Yui Irie, Kosuke Mizuno, Nariyoshi Umekubo and Satoshi Yokoshima
Org. Lett., Articles ASAP (2026)
(doi: 10.1021/acs.orglett.6c01039)
Total Synthesis of Scandine
Takumi Kitamura, Kaito Morita, Nariyoshi Umekubo, Satoshi Yokoshima
JACS Au, 6, 2198 (2026)
(doi: 10.1021/jacsau.6c00174)
This work was selected as the Most Read Articles on a monthly basis.
Design, synthesis, and structural analysis of an inhibitor of the gastric proton pump with a diaza-tricyclic skeleton
Nariyoshi Umekubo, Airi Hashizume, Haruki Saito, Satoru Kato, Chisato Kanai, Chai C. Gopalasingam, Christoph Gerle, Hideki Shigematsu, Atsushi Yoshimori, Kazuhiro Abe, and Satoshi Yokoshima
Org. Biomol. Chem., 24, 1000 (2026)
(doi: 10.1039/D5OB01828E)
2025
Synthesis of tricyclic triamines using intramolecular cycloaddition of nitrones
Kazuma Saito, Miki Inukai, Nariyoshi Umekubo, and Satoshi Yokoshima
Org. Biomol. Chem., 23, 10651 (2025)
(doi: 10.1039/D5OB01636C)
Natural Product Synthesis via Intramolecular Cycloaddition of Nitrogen-Containing 1,3-Dipoles
Satoshi Yokoshima
J. Synth. Org. Chem., Jpn., 83, 966 (2025)
(doi: 10.5059/yukigoseikyokaishi.83.966)
Synthesis of Diazatricyclic Molecules via Intramolecular Cycloaddition of Azomethine Ylides
Satoru Kato, Kaito Morita, Nariyoshi Umekubo and Satoshi Yokoshima
Org. Lett., 27, 10904 (2025)
(doi: 10.1021/acs.orglett.5c03537)
Synthesis of 2,6-Diazabicyclo[3.3.1]nonanes via Intramolecular Cycloaddition of Nitrones
Ryosuke Kawai, Asano Nakamura, Yui Irie, Nariyoshi Umekubo and Satoshi Yokoshima
Org. Biomol. Chem., 23, 8409 (2025)
(doi: 10.1039/D5OB01193K)
Stereoselective Synthesis of Delgocitinib and Its Diastereomer Using Organocatalyzed Michael Addition
Kaito Morita, Nariyoshi Umekubo, Haruo Matsuzaki, Ken Tsutsumi and Satoshi Yokoshima
Org. Lett., 27, 6789 (2025)
(doi: 10.1021/acs.orglett.5c01960)
This work was cited in Synfacts
Construction of Nitrogen-Containing Three-Dimensional Frameworks via Formation and Cycloaddition of endo-Cyclic Azomethine Ylide
Kohei Furuhashi, Nariyoshi Umekubo, Yoe Matsuyuki and Satoshi Yokoshima
Org. Lett., 27, 4904 (2025)
(doi: 10.1021/acs.orglett.5c01153)
This work was cited in Org. Chem. Highlights
Intramolecular cycloaddition of nitrones in total synthesis of natural products
Satoshi Yokoshima
Nat. Prod. Rep., 42, 1071 (2025)
(doi: 10.1039/D4NP00062E)
Total Synthesis of Melonine
Yoe Matsuyuki, Nariyoshi Umekubo and Satoshi Yokoshima
Org. Lett., 27, 2065 (2025)
(doi: 10.1021/acs.orglett.4c04851)
This work was selected as the Most Read Articles on a yearly basis.
This work was cited in Org. Chem. Highlights
2024
Total Synthesis of Putative Melognine
Yui Irie and Satoshi Yokoshima
J. Am. Chem. Soc., 146, 9526 (2024)
(doi: 10.1021/jacs.4c02086)
This work was selected as the Most Read Articles on a monthly basis.
This work was selected as the Most Read Articles on a yearly basis.
2023
Deep learning driven de novo drug design based on gastric proton pump structures
Kazuhiro Abe, Mami Ozako, Miki Inukai, Yoe Matsuyuki, Shinnosuke Kitayama, Chisato Kanai, Chiaki Nagai, Chai C. Gopalasingam, Christoph Gerle, Hideki Shigematsu, Nariyoshi Umekubo, Satoshi Yokoshima & Atsushi Yoshimori
Commun. Biol., 6, 956 (2023)
(doi: 10.1038/s42003-023-05334-8)
Press Release (2023.9.29)
Total syntheses of macleanine and lycoposerramine-S
Masahiro Okuyama, Nariyoshi Umekubo, Kenta Akimoto, Takahisa Shimizu, Kazuhiro Kubokoya, Nagayasu Nakajima, Yoshitake Nishiyama and Satoshi Yokoshima
Org. Biomol. Chem., 21, 6289 (2023)
(doi: 10.1039/D3OB01065A)
Total Synthesis of Malettinins C and E
Nariyoshi Umekubo and Satoshi Yokoshima
Org. Lett., 25, 4530 (2023)
(doi: 10.1021/acs.orglett.3c00838)
This work was selected as the most read articles on a monthly basis.
This work was selected on SYNFACTS of the month.
This work was cited in Org. Chem. Highlights
Construction of the tetracyclic ring system of diterpene alkaloids via cationic [5 + 2] cycloaddition
Kosuke Mizuno, Yoshitake Nishiyama and Satoshi Yokoshima
Org. Biomol. Chem., 21, 4587 (2023)
(doi: 10.1039/d3ob00647f)
Total Synthesis of Kopsone
Kazutoshi Tomoya, Kazuaki Komiya, Daisuke Nakajima, Nariyoshi Umekubo, and Satoshi Yokoshima
Org. Lett., 25, 2718 (2023)
(doi: 10.1021/acs.orglett.3c00838)
This work was selected as the most read articles on a monthly basis
This work was cited in Org. Chem. Highlights
Fluorinated 2,6-Xylenesulfonyl Group: A Protective Group for Amines
Yuki Katayama, Kenta Watanabe, Yoshitake Nishiyama, and Satoshi Yokoshima
Org. Lett., 25, 1326 (2023)
(doi: 10.1021/acs.orglett.3c00299)
Convergent synthesis of the [5-7-6-3] tetracyclic core of premyrsinane diterpenes
Kohei Yoshinaga and Satoshi Yokoshima
Org. Biomol. Chem., 21, 724 (2023)
(doi: 10.1039/d2ob02210a)
2022
Construction of the [7–5–5] Tricyclic Core of Daphniphyllum Alkaloids via a Cationic Cascade Reaction
Daisuke Nakajima and Satoshi Yokoshima
Org. Lett., 24, 9520 (2022)
(doi: 10.1021/acs.orglett.2c04023)
Formal Synthesis of Ecteinascidin 743 via an Intramolecular Cascade Heck Reaction to Construct the Diazabicyclo[3.3.1]nonane Framework
Nagayasu Nakajima, Eiji Yoshida, Tatsuya Toma, Yoshitake Nishiyama, Masayuki Inoue, Tohru Fukuyama, and Satoshi Yokoshima
Org. Lett., 24, 8228 (2022)
(doi: 10.1021/acs.orglett.2c03357)
Substitution of α-Azido Sulfones with Thiolates to Form α-Azido Sulfides
Akito Katayama, Yuan Jin, Yoshitake Nishiyama, Takamitsu Hosoya, and Satoshi Yokoshima
Org. Lett., 24, 7361 (2022)
(doi: 10.1021/acs.orglett.2c02895)
Photoinduced Rearrangement of α-(2-Nitrophenyl)ketones
Shinnosuke Kitayama, Hiroaki Shimizu, and Satoshi Yokoshima
Org. Biomol. Chem., 20, 7896 (2022)
(doi: 10.1039/D2OB01546C)
Anticancer Approach Inspired by the Hepatotoxic Mechanism of Pyrrolizidine Alkaloids with Glycosylated Artificial Metalloenzymes
Michitaka Kurimoto, Tsung-che Chang, Yoshitake Nishiyama, Takehiro Suzuki, Naoshi Dohmae, Katsunori Tanaka, Satoshi Yokoshima
Angew. Chem. Int. Ed., 2022, 61, e2202205541
(doi: 10.1002/anie.202205541)
Press Release (2022.9.29)
This work was highlighted as a Spotlight Research in Chem-Station.
This work was introduced as an article of FOCUS in Newton (2023.1).
Synthetic Approach toward (-)-Tetrodotoxin via Construction of the Bicyclo[2.2.2]octane Skeleton
Kazuki Kobayashi, Yoshiki Senoo, Tatuya Toma, Tohru Fukuyama, Satoshi Yokoshima
Synlett, 33, 391 (2022)
(doi: 10.1055/s-0041-1737803)
2021
Photo-oxygenation by a biocompatible catalyst reduces amyloid-β levels in Alzheimer’s disease mice
Shuta Ozawa, Yukiko Hori, Yusuke Shimizu, Atsuhiko Taniguchi, Takanobu Suzuki, Wenbo Wang, Yung Wen Chiu, Reiko Koike, Satoshi Yokoshima, Tohru Fukuyama, Sho Takatori, Youhei Sohma, Motomu Kanai, Taisuke Tomita
Brain, 144, 1884 (2021)
(doi: 10.1093/brain/awab058/6224831)
Nitrone Formation by Reaction of an Enolate with a Nitro Group

Hiroaki Shimizu, Kohei Yoshinaga, and Satoshi Yokoshima
Org. Lett., 23, 2704 (2021)
(doi: 10.1021/acs.orglett.1c00603)
Copper-Mediated Conversion of Alkynes into Nitriles via Iodotriazoles

Ryosuke Kori, Keigo Murakami, Yoshitake Nishiyama, Tatsuya Toma, Satoshi Yokoshima
Chem. Pharm. Bull., 69, 278 (2021)
(doi: 10.1248/cpb.c20-00787)
Total Synthesis of Haliclonin A

Yuan Jin, Kensuke Orihara, Fumiki Kawagishi, Tatsuya Toma, Tohru Fukuyama, Satoshi Yokoshima
Angew. Chem. Int. Ed., 60, 9666 (2021)
(doi: 10.1002/anie.202016343)
One of the most downloaded papers during the first 12 months of publication in Angewandte Chemie International Edition
A novel translation inhibitor, mersicarpine, inhibits S-phase progression and induces apoptosis in HL60 cells
Tomoko Shiobara, Yoko Nagumo, Rie Nakajima, Tohru Fukuyama, Satoshi Yokoshima, Takeo Usui
Bioscience, Biotechnology, and Biochemistry, 85, 92 (2021)
(doi: 10.1093/bbb/zbaa070)
Synthesis of 2-Azabicyclo[3.3.1]nonanes: Lessons from Synthetic Studies of Macrocyclic Diamine Alkaloids
Satoshi Yokoshima
Chem. Lett., 50, 96 (2021)
(doi: 10.1246/cl.200695)
2020
Structure–Activity Relationship Study of Majusculamides A and B and Their Analogues on Osteogenic Activity
Noriyuki Natsume, Kaori Ozaki, Daisuke Nakajima, Satoshi Yokoshima, Toshiaki Teruya
J. Nat. Prod., 83, 2477 (2020)
(doi: 10.1021/acs.jnatprod.0c00441)
Synthesis of Polycyclic Natural Products through Skeletal Rearrangement
Satoshi Yokoshima
Synlett, 31, 1967 (2020)
(doi: 10.1055/s-0040-1707904)
Synthetic Studies on Densanins: Stereoselective Construction of a Pyrrolidine Ring Containing a Quaternary Carbon
Kyosuke Ueda and Satoshi Yokoshima
Heterocycles, 103, 172 (2021)
(doi: 10.3987/COM-20-S(K)4)
Semipinacol Rearrangement Induced by Cleavage of Dibromocyclopropane

Michitaka Kurimoto, Daisuke Nakajima, Yoshitake Nishiyama, Satoshi Yokoshima
Eur. J. Org. Chem., 4108 (2020)
(doi: 10.1055/s-0037-1611805)
This article was selected as a Front Cover.
Total Synthesis of Tetrodotoxin

Keigo Murakami, Tatsuya Toma, Tohru Fukuyama, Satoshi Yokoshima
Angew. Chem. Int. Ed., 59, 6253 (2020)
(doi: 10.1002/anie.201916611)
This paper was selected as newsworthy by the editorial office.
This paper was featured on Synfacts.
Synthetic Studies on Bilobalide

Akihiro Shiogai, Tatsuya Toma, Satoshi Yokoshima
Synlett, 31, 290 (2020)
(doi: 10.1055/s-0037-1611805)
2019
An artificial metalloenzyme biosensor can detect ethylene gas in fruits and Arabidopsis leaves
Kenward Vong, Shohei Eda, Yasuhiro Kadota, Igor Nasibullin, Takanori Wakatake, Satoshi Yokoshima, Ken Shirasu, Katsunori Tanaka
Nat. Commun., 10, 5746 (2019)
(doi: 10.1038/s41467-019-13758-2)
Synthesis of Majusculamides A and B

Daisuke Nakajima, Kosuke Sueyoshi, Kensuke Orihara, Toshiaki Teruya, Satoshi Yokoshima
Synlett, 30, 924 (2019)
(doi: 10.1055/s-0037-1611805)
Synthetic Studies of Isoschizogamine: Alternative Preparation of the Key Intermediate

Noriyuki Hayashi, Yusuke Miura, Satoshi Yokoshima, Tohru Fukuyama
Chem. Pharm. Bull., 67, 64 (2019)
(doi: 10.1248/cpb.c18-00718)
2018
Total Synthesis of Lycoposerramine-R

Shinya Watanabe, Masatsugu Ishikawa, Toshimune Nomura, Tohru Fukuyama, Satoshi Yokoshima
Synlett, 29, 2377 (2018)
(doi: 10.1055/s-0037-1611024)
Synthetic Studies of the Daphniphyllum Alkaloids: A Cooperative Reaction of Proximal Functional Groups Forming a Tetracyclic System

Ryosuke Yamada, Tohru Fukuyama, Satoshi Yokoshima
Org. Lett., 20, 4504 (2018)
(doi: 10.1021/acs.orglett.8b01800)
A small-molecule inhibitor of SOD1-Derlin-1 interaction ameliorates pathology in an ALS mouse model
Naomi Tsuburaya, Kengo Homma, Tsunehiko Higuchi, Andrii Balia, Hiroyuki Yamakoshi, Norio Shibata, Seiichi Nakamura, Hidehiko Nakagawa, Shin-ichi Ikeda, Naoki Umezawa, Nobuki Kato, Satoshi Yokoshima, Masatoshi Shibuya, Manabu Shimonishi, Hirotatsu Kojima, Takayoshi Okabe, Tetsuo Nagano, Isao Naguro, Keiko Imamura, Haruhisa Inoue, Takao Fujisawa & Hidenori Ichijo
Nat. Commun., 9, 2668 (2018)
(doi: 10.1038/s41467-018-05127-2)
Synthesis of the [7-5-5] Tricyclic Core of Daphniphyllum Alkaloids

Yusuke Kitabayashi, Tohru Fukuyama, Satoshi Yokoshima
Org. Biomol. Chem., 16, 3556 (2018)
(doi: 10.1039/C8OB00859K)
Synthetic Studies of Haliclonin A: Construction of the 3-Azabicyclo[3.3.1]nonane Skeleton with a Bridge that Forms the 17-Membered Ring

Kensuke Orihara, Fumiki Kawagishi, Satoshi Yokoshima, Tohru Fukuyama
Synlett, 29, 769 (2018)
(doi: 10.1055/s-0037-1609150)
Total Synthesis of Huperzine R

Toshimune Nomura, Satoshi Yokoshima, Tohru Fukuyama
Org. Lett., 20, 119 (2018)
(doi: 10.1021/acs.orglett.7b03555)
Total Synthesis of (+)-lysergic acid

Rentaro Kanno, Satoshi Yokoshima, Motomu Kanai, Tohru Fukuyama
The Jornal of Antibiotics, 71, 240 (2018)
(doi: 10.1038/ja.2017.80)
2017
Synthesis of Cardiopetaline via a Wagner–Meerwein Rearrangement without Preactivation of the Pivotal Hydroxy Group

Yoshitake Nishiyama, Satoshi Yokoshima, Tohru Fukuyama
Org. Lett., 19, 5833 (2017)
(doi: 10.1021/acs.orglett.7b02812)
Discovery of novel 2-(3-phenylpiperazin-1-yl)-pyrimidin-4-ones as glycogen synthase kinase-3β inhibitors
Yoshihiro Usui, Fumiaki Uehara, Shinsuke Hiki, Kazutoshi Watanabe, Hiroshi Tanaka, Aya Shouda, Satoshi Yokoshima, Keiichi Aritomo, Takashi Adachi, Kenji Fukunaga, Shinji Sunada, Mika Nabeno, Ken-Ichi Saito, Jun-ichi Eguchi, Keiji Yamagami, Shouichi Asano, Shinji Tanaka, Satoshi Yuki, Narihiko Yoshii, Masatake Fujimura, Takashi HorikawaBioorganic & Medicinal Chemistry Letters, 27, 3726 (2017)
(doi: 10.1016/j.bmcl.2017.06.078)
Total Synthesis of Huperzine Q

Shun Tanimura, Satoshi Yokoshima, Tohru Fukuyama
Org. Lett., 19, 3684 (2017)
(doi: 10.1021/acs.orglett.7b01633)
High-throughput Screening of Small Molecule Inhibitors of the Streptococcus Quorum-sensing Signal Pathway
Seiji Ishii, Kenji Fukui, Satoshi Yokoshima, Kazuo Kumagai, Youko Beniyama, Tetsuya Kodama, Tohru Fukuyama, Takayoshi Okabe, Tetsuo Nagano, Hirotatsu Kojima, Takato YanoScientific Reports, 7, 4029 (2017)
(doi: 10.1038/s41598-017-03567-2)
Total Syntheses of Aurachins A and B

Haruhiko Hattori, Satoshi Yokoshima, Tohru Fukuyama
Angew. Chem. Int. Ed., 56, 6980 (2017)
(doi: 10.1002/anie.201702204)
Total Synthesis of (−)-Morphine

Hirotatsu Umihara, Satoshi Yokoshima, Masayuki Inoue, Tohru Fukuyama
Chem. Eur. J., 23, 6993 (2017)
(doi: 10.1002/chem.201701438)
Total Synthesis of (−)-Tetrodotoxin and 11-norTTX-6(R)-ol

Tomoaki Maehara, Keisuke Motoyama, Tatsuya Toma, Satoshi Yokoshima, Tohru Fukuyama
Angew. Chem. Int. Ed., 56, 1549 (2017)
(doi: 10.1002/anie.201611574)
This paper was selected as a Hot Paper.
Total Synthesis of Lycopalhine A

Yuji Ochi, Satoshi Yokoshima, Tohru Fukuyama
Synthesis, 49, 96 (2017)
(doi: 10.1055/s-0036-1588878)
2016
Chemical Transformation of an Intermediate in the Synthesis of Huperzine A, Leading to a Diverse Array of Molecules

Satoshi Yokoshima, Masatsugu Ishikawa, Youko Beniyama, Tohru Fukuyama
Chem. Phaem. Bull, 64, 1528 (2016)
(doi: 10/64_c16-00507)
Conversion of Vindoline into 11-Mesyloxytabersonine

Yuki Han-ya, Tomohiko Inui, Satoshi Yokoshima, Hidetoshi Tokuyama, Tohru Fukuyama
Chem. Pharm. Bull., 64, 800 (2016)
(doi: 10.1248/cpb.c16-00175)
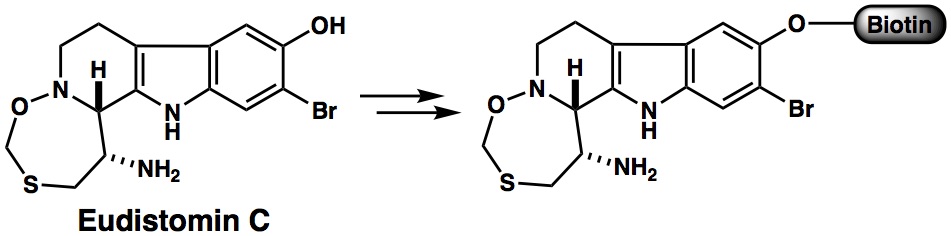
Eudistomin C, an Antitumor and Antiviral Natural Product, Targets 40S Ribosome and Inhibits Protein Translation

Ota, Yu; Chinen, Takumi; Yoshida, Keisuke; Kudo, Shun; Nagumo, Yoko; Shiwa, Yuh; Yamada, Ryosuke; Umihara, Hirotatsu; Iwasaki, Kotaro; Masumoto, Hiroshi; Yokoshima, Satoshi; Yoshikawa, Hirofumi; Fukuyama, Tohru; Kobayashi, Junichi; Usui, Takeo
ChemBioChem, 17, 1616 (2016)
(doi: 10.1002/cbic.201600075/abstract)
BIN1 regulates BACE1 intracellular trafficking and amyloid-β production
Miyagawa, Toji; Ebinuma, Ihori; Morohashi, Yuichi; Hori, Yukiko; Chang, Mee Young; Hattori, Haruhiko; Maehara, Tomoaki; Yokoshima, Satoshi; Fukuyama, Tohru; Tsuji, Shoji; Iwatsubo, Takeshi; Prendergast, George C.; Tomita, TaisukeHUMAN MOLECULAR GENETICS, 25, 2948 (2016)
(doi: 10.1093/hmg/ddw146)
Total Synthesis of (−)-Cardiopetaline

Yoshitake Nishiyama, Satoshi Yokoshima, Tohru Fukuyama
Org. Lett., 18, 2359 (2016)
(doi: 10.1021/acs.orglett.6b00789)
Morphological Evaluation of Nonlabeled Cells to Detect Stimulation of Nerve Growth Factor Expression by Lyconadin B
Kawai, Shun; Sasaki, Hiroto; Okada, Norihiro; Kanie, Kei; Yokoshima, Satoshi;Fukuyama, Tohru;Honda, Hiroyuki; Kato, RyujiJOURNAL OF BIOMOLECULAR SCREENING, 21, 795 (2016)
(doi: 10.1177/1087057116645500)
Total Synthesis of (−)-Daphenylline

Ryosuke Yamada, Yohei Adachi, Satoshi Yokoshima and Tohru Fukuyama
Angew. Chem. Int. Ed, 55, 6067 (2016)
(doi: 10.1002/anie.201601958)
This paper was selected as a VIP.
Total Synthesis of Lycopalhine A

Yuji Ochi, Satoshi Yokoshima and Tohru Fukuyama
Org. Lett., 18, 1494 (2016)
(doi: 10.1021/acs.orglett.6b00338)
2015
Synthetic Studies on Huperzine R: Construction of the 1-Azabicyclo[5.4.3]tetradec-6-ene Core

Hiroshi Kumazaki, Rie Nakajima, Yuka Bessho, Satoshi Yokoshima and Tohru Fukuyama
Synlett, 26, 2131 (2015)
(doi: 10.1055/s-0034-1380425)
Conversion of Ester Moieties to 4-Bromophenyl Groups via Electrocyclic Reaction of Dibromocyclopropanes

Kyosuke Ueda, Hirotatsu Umihara, Satoshi Yokoshima and Tohru Fukuyama
Org. Lett., 17, 3191 (2015)
(doi: 10.1021/acs.orglett.5b01351)
Formal Synthesis of Sarain A: Intramolecular Cycloaddition of an Eight-Membered Cyclic Nitrone to Construct the 2-Azabicyclo[3.3.1]nonane Framework

Takuya Higo, Tomoya Ukegawa, Satoshi Yokoshima and Tohru Fukuyama
Angew. Chem. Int. Ed., 54, 7367 (2015)
(doi: 10.1002/anie.201501633)
Synthetic Studies on Plakinidines

Takashi Komori, Satoshi Yokoshima and Tohru Fukuyama
Synlett, 26, 1537 (2015)
(doi: 10.1055/s-0034-1380689)
2014
Synthesis of (−)-Oxycodone

Atsushi Kimishima, Hirotatsu Umihara, Akihiro Mizoguchi, Satoshi Yokoshima and Tohru Fukuyama
Org. Lett., 16, 6244 (2014)
(doi: 10.1021/ol503175n)
Asymmetric synthesis of 2-arylpiperazines

Satoshi Yokoshima, Kazutoshi Watanabe, Fumiaki Uehara, Yoshihiro Usui and Hiroshi Tanaka
Bioorg. Med. Chem. Lett., 24, 5749 (2014)
(doi: 10.1016/j.bmcl.2014.10.047)
Allosteric regulation of γ-secretase activity by a phenylimidazole-type γ-secretase modulator
Koji Takeo, Shun Tanimura, Takehiro Shinoda, Satoko Osawa, Ivan Krasmirov Zahariev, Naoki Takegami, Yoshiko Ishizuka-Katsura, Naoko Shinya, Shizuka Takagi-Niidome, Aya Tominaga, Noboru Ohsawa, Tomomi Kimura-Someya, Mikako Shirouzu, Satoshi Yokoshima, Shigeyuki Yokoyama, Tohru Fukuyama, Taisuke Tomita and Takeshi IwatsuboProc. Natl. Acad. Sci. USA, 111, 10544 (2014)
(doi: 10.1073/pnas.1402171111)
A Unified Strategy for Kainoid Synthesis

Masaya Fujii, Satoshi Yokoshima and Tohru Fukuyama
Eur. J. Org. Chem., 2014, 4823 (2014)
(doi: 10.1002/ejoc.201402452)
Total Synthesis of (−)-Lepistine

Yusuke Kitabayashi, Satoshi Yokoshima and Tohru Fukuyama
Org. Lett., 16, 2862 (2014)
(doi: 10.1021/ol5010033)
This paper was featured on Synfacts.
New photocleavable linker: α-Thioacetophenone-type linker

Hirotaka Yonezawa, Yoshitake Nishiyama, Koji Takeo, Takeshi Iwatsubo, Taisuke Tomita, Satoshi Yokoshima and Tohru Fukuyama
Bioorg. Med. Chem. Lett., 24, 2831 (2014)
(doi: 10.1016/j.bmcl.2014.04.104)
Total Synthesis of (−)-Lepenine

Yoshitake Nishiyama, Yuki Han-ya, Satoshi Yokoshima and Tohru Fukuyama
J. Am. Chem. Soc., 136, 6598 (2014)
(doi: 10.1021/ja503023h)
This paper was featured on Synfacts.
Binding of longer A beta to transmembrane domain 1 of presenilin 1 impacts on A beta 42 generation
Yu Ohki, Naoaki Shimada, Aya Tominaga, Satoko Osawa, Takuya Higo, Satoshi Yokoshima, Tohru Fukuyama, Taisuke Tomita, Takeshi IwatsuboMolecular Neurodegeneration, 9, 7 (2014)
(doi: 10.1186/1750-1326-9-7)
2013
Total Synthesis of Ecteinascidin 743

Fumiki Kawagishi, Tatsuya Toma, Tomohiko Inui, Satoshi Yokoshima and Tohru Fukuyama
J. Am. Chem. Soc., 135, 13684 (2013)
(doi: 10.1021/ja408034x)
This paper was featured on Synfacts.
Total Synthesis of Lysergic Acid

Satoshi Umezaki, Satoshi Yokoshima and Tohru Fukuyama
Org. Lett., 15, 4230 (2013)
(doi: 10.1021/ol4019562)
Effect of Helical Conformation and Side Chain Structure on gamma-Secretase Inhibition by beta-Peptide Foldamers: Insight into Substrate Recognition
Yuki Imamura, Naoki Umezawa, Satoko Osawa, Naoaki Shimada, Takuya Higo, Satoshi Yokoshima, Tohru Fukuyama, Takeshi Iwatsubo, Nobuki Kato, Taisuke Tomita, Tsunehiko HiguchiJ. Med. Chem., 56, 1443 (2013)
(doi: 10.1021/jm301306c)
Total Syntheses of Lyconadins A-C

Takuya Nishimura, Aditya K. Unni, Satoshi Yokoshima and Tohru Fukuyama
J. Am. Chem. Soc., 135, 3243 (2013)
(doi: 10.1021/ja312065m)
2-Pyridone Synthesis Using 2-(Phenylsulfinyl)acetamide

Masaya Fujii, Takuya Nishimura, Takahiro Koshiba, Satoshi Yokoshima and Tohru Fukuyama
Org. Lett., 15, 232 (2013)
(doi: 10.1021/ol303320c)
This paper was featured on Synfacts and ChemInform.
2012
Activity-Dependent Proteolytic Cleavage of Neuroligin-1
Kunimichi Suzuki, Yukari Hayashi, Soichiro Nakahara, Hiroshi Kumazaki, Johannes Prox, Keisuke Horiuchi, Mingshuo Zeng, Shun Tanimura, Yoshitake Nishiyama, Satoko Osawa, Atsuko Sehara-Fujisawa, Paul Saftig, Satoshi Yokoshima, Tohru Fukuyama, Norio Matsuki, Ryuta Koyama, Taisuke Tomita and Takeshi IwatsuboNeuron, 76, 410 (2012)
(doi: 10.1016/j.neuron.2012.10.003)
Total Synthesis of (−)-Lycoposerramine-S

Naoaki Shimada, Yuzo Abe, Satoshi Yokoshima, Tohru Fukuyama
Angew. Chem. Int. Ed., 51, 11824 (2012)
(doi: 10.1002/anie.201206863)
This paper was featured on Synfacts.
Synthetic Studies on Chartelline C: Stereoselective Construction of the Core Skeleton

Kotaro Iwasaki, Rentaro Kanno, Toshiharu Morimoto, Tohru Yamashita, Satoshi Yokoshima, Tohru Fukuyama
Angew. Chem. Int. Ed., 51, 9160 (2012)
(doi: 10.1002/anie.201204726)
Total Synthesis of (−)-Lemonomycin

Atsushi Yoshida, Michinori Akaiwa, Tomohiro Asakawa, Yoshitaka Hamashima, Satoshi Yokoshima, Tohru Fukuyama, Toshiyuki Kan Chem. Eur. J., 18, 11192 (2012)
(doi: 10.1002/chem.201202073q)
Total Synthesis of (−)-Isoschizogamine

Yusuke Miura, Noriyuki Hayashi, Satoshi Yokoshima, Tohru Fukuyama
J. Am. Chem. Soc., 134, 11995 (2012)
(doi: 10.1021/ja305856q)
This paper was featured on Synfacts.
Synthetic Studies toward Ecteinascidin 743 (Trabectedin)

Takahiro Imai, Hiyoku Nakata, Satoshi Yokoshima, Tohru Fukuyama
Synthesis, 44, 2743 (2012)
(doi: 10.1055/s-0032-1316579)
Total Synthesis of Gelsemoxonine

Jun Shimokawa, Takaaki Harada, Satoshi Yokoshima, and Tohru Fukuyama
Pure Appl. Chem., 84, 1643 (2012)
(doi: 10.1351/PAC-CON-11-10-25)
A Practical Preparation of Highly Versatile N-Acylpyrroles from 2,4,4-Trimethoxybutan-1-amine

Tomoaki Maehara, Rentaro Kanno, Satoshi Yokoshima, and Tohru Fukuyama
Org. Lett., 14, 1946 (2012)
(doi: 10.1021/ol3005613)
Total Synthesis of (−)-Anisatin

Akihiro Ogura, Kohei Yamada, Satoshi Yokoshima, and Tohru Fukuyama
Org. Lett., 14, 1632 (2012)
(doi: 10.1021/ol300390k)
This paper was featured on Synfacts.
Identification of novel deoxyribofuranosyl indole antimicrobial agents
Atmika Paudel, Hiroshi Hamamoto, Yoshihisa Kobayashi, Satoshi Yokoshima, Tohru Fukuyama, Kazuhisa SekimizuThe Jornal of Antibiotics, 65, 53 (2012)
(doi: 10.1038/ja.2011.110)
2011
A Practical Synthesis of (−)-Kainic Acid

Satoshi Takita, Satoshi Yokoshima and Tohru Fukuyama
Synthesis, 3848 (2011)
(doi: 10.1055/s-0031-1289570)
Phenylpiperidine-type γ-secretase modulators target the transmembrane domain 1 of presenilin 1

Yu Ohki, Takuya Higo, Kengo Uemura, Naoaki Shimada, Satoko Osawa, Oksana Berezovska, Satoshi Yokoshima, Tohru Fukuyama, Taisuke Tomita and Takeshi Iwatsubo
EMBO Journal, 30, 4815 (2011)
(doi: 10.1038/emboj.2011.372)
Total Synthesis of Gelsemoxonine

Jun Shimokawa, Takaaki Harada, Satoshi Yokoshima and Tohru Fukuyama
J. Am. Chem. Soc., 133, 17634 (2011)
(doi: 10.1021/ja109516f)
This paper was featured on "Chem Station" (only Japanese version available).
Total Synthesis of (−)-Histrionicotoxin

Yohei Adachi, Noriyuki Kamei, Satoshi Yokoshima and Tohru Fukuyama
Org. Lett., 13, 4446 (2011)
(doi: 10.1021/ol2018032)
Copper-Mediated Aryl Amination: In Situ Generation of an Active Copper(I) Species
Takashi Komori, Nobuhiro Satoh, Satoshi Yokoshima and Tohru FukuyamaSynlett, 1859 (2011)
(doi: 10.1055/s-0030-1260954)
Total Synthesis of (−)-Salinosporamide A

Nobuhiro Satoh, Satoshi Yokoshima and Tohru Fukuyama
Org. Lett., 13, 3028 (2011)
(doi: 10.1021/ol200886j)
BACE1 Activity Is Modulated by Cell-Associated Sphingosine-1-Phosphate
Nobumasa Takasugi, Tomoki Sasaki, Kunimichi Suzuki, Satoko Osawa, Hayato Isshiki, Yukiko Hori, Naoaki Shimada, Takuya Higo, Satoshi Yokoshima, Tohru Fukuyama, Virginia M.-Y. Lee, John Q. Trojanowski, Taisuke Tomita and Takeshi IwatsuboJ. Neurosci., 31, 6850 (2011)
(doi: 10.1523/JNEUROSCI.6467-10.2011)
A Practical Synthesis of (−)-Kainic Acid

Satoshi Takita, Satoshi Yokoshima and Tohru Fukuyama
Org. Lett., 13, 2068 (2011)
(doi: 10.1021/ol200434a)
Concise Total Synthesis of (+)-Lyconadin A

Takuya Nishimura, Aditya K. Unni, Satoshi Yokoshima and Tohru Fukuyama
J. Am. Chem. Soc., 133, 418 (2011)
(doi: 10.1021/ja109516f)
2010
Total Synthesis of (−)-Morphine

Hifumi Koizumi, Satoshi Yokoshima and Tohru Fukuyama
Chem. Asian. J., 5, 2192 (2010)
(doi: 10.1002/asia.201000458)
Total synthesis of (+)-vinblastine: Control of the stereochemistry at C18

Satoshi Yokoshima, Hidetoshi Tokuyama and Tohru Fukuyama
The Chemical Record, 10, 101 (2010)
(doi: 10.1002/tcr.200900025)
Total Synthesis of (−)-Mersicarpine

Rie Nakajima, Tsuyoshi Ogino, Satoshi Yokoshima and Tohru Fukuyama
J. Am. Chem. Soc., 132, 1236 (2010)
(doi: 10.1021/ja9103233)
2009
Synthetic Studies toward (+)-Lysergic Acid: Construction of the Tetracyclic Ergoline Skeleton

Tohru Inoue, Satoshi Yokoshima and Tohru Fukuyama
Heterocycles, 79, 373 (2009)
(doi: 10.3987/COM-08-S(D)42)
Total Synthesis of (±)-Morphine

Kenji Uchida, Satoshi Yokoshima, Toshiyuki Kan and Tohru Fukuyama
Heterocycles, 77, 1219 (2009)
(doi: 10.3987/COM-08-S(F)103)
A Practical Synthesis of (−)-Oseltamivir

Nobuhiro Satoh, Takahiro Akiba, Satoshi Yokoshima and Tohru Fukuyama
Tetrahedron, 64, 3239 (2009)
(doi: 10.1016/j.tet.2008.09.103)
Development of photoaffinity probes for γ-secretase equipped with a nitrobenzenesulfonamide-type cleavable linker

Satoshi Yokoshima, Yuzo Abe, Naoto Watanabe, Yoichi Kita, Takeshi Iwatsubo, Taisuke Tomita and Tohru Fukuyama
Bioorg. Med. Chem. Lett., 19, 6869 (2009)
(doi: 10.1016/j.bmcl.2009.10.086)
Total Synthesis of (−)-Huperzine A

Takahiro Koshiba, Satoshi Yokoshima and Tohru Fukuyama
Org. Lett., 11, 5354 (2009)
(doi: 10.1021/ol9022408)
Method for Producing Morphine
-Morphine.jpg)
Tohru Fukuyama, Satoshi Yokoshima and Hifumi Koizumi
PCT Int. Appl., WO 2009154041 (2009)
[link]
2008
Synthesis of Eudistomin C and E: Improved Preparation of the Indole Unit

Hiroaki Yamagishi, Koji Matsumoto, Kotaro Iwasaki, Tohru Miyazaki, Satoshi Yokoshima, Hidetoshi Tokuyama and Tohru Fukuyama
Org. Lett., 10, 2369 (2008)
(doi: 10.1021/ol800527p)
(1-Nosyl-5-nitroindol-3-yl)methyl Ester: A Novel Protective Group for Carboxylic Acids

Takuya Nishimura, Kouhei Yamada, Tohru Takebe, Satoshi Yokoshima and Tohru Fukuyama
Org. Lett., 10, 2601 (2008)
(doi: 10.1021/ol8008655)
A Simple Chiral Template for the Synthesis of Fuctionalized α-Arylglycine Derivatives

Hiyoku Nakata, Takahiro Imai, Satoshi Yokoshima and Tohru Fukuyama
Heterocycles, 76, 747 (2008)
(doi: 10.3987/COM-08-S(N)87)
Oseltamivir Enhances Hippocampal Network Synchronization
Atsushi Usami, Takuya Sasaki, Nobuhiro Satoh, Takahiro Akiba, Satoshi Yokoshima, Tohru Fukuyama, Kenzo Yamatsugu, Motomu Kanai, Masakatsu Shibasaki, Norio Matsuki and Yuji IkegayaJ. Pharmacol. Sci., 106, 659 (2008)
(doi: 10.1254/jphs.SC0070467)
Isoquinuclidine derivative and method for producing 1-cyclohexene-1-carboxylic acid derivative by using the same
Tohru Fukuyama, Satoshi Yokoshima and Nobuhiro SatohPCT Int. Appl., WO 2008013269 (2008)
[link]
2007
Synthesis of (+)-Vinblastine and Its Analogues

Tohru Miyazaki, Satoshi Yokoshima, Siro Simizu, Hiroyuki Osada, Hidetoshi Tokuyama and Tohru Fukuyama
Org. Lett., 9, 4737 (2007)
(doi: 10.1021/ol702040y)
A Practical Synthesis of (−)-Oseltamivir

Nobuhiro Satoh, Takahiro Akiba, Satoshi Yokoshima and Tohru Fukuyama
Angew. Chem. Int. Ed., 46, 5734 (2007)
(doi: 10.1002/anie.200701754)
2006
Total Synthesis of (±)-Morphine

Kenji Uchida, Satoshi Yokoshima, Toshiyuki Kan and Tohru Fukuyama
Org. Lett., 8, 5311 (2006)
(doi: 10.1021/ol062112m)
Synthesis of biotinylated photoaffinity probes based on arylsulfonamide γ-secretase inhibitors
Haruhiko Fuwa, Kenichi Hiromoto, Yasuko Takahashi, Satoshi Yokoshima, Toshiyuki Kan, Tohru Fukuyama, Takeshi Iwatsubo, Taisuke Tomita and Hideaki NatsugariBioorg. Med. Chem. Lett., 16, 4184 (2006)
(doi: 10.1016/j.bmcl.2006.05.091)
Novel γ-secretase inhibitors discovered by library screening of in-house synthetic natural product intermediates
Yasuko Takahashi, Haruhiko Fuwa, Akane Kaneko, Makoto Sasaki, Satoshi Yokoshima, Hifumi Koizumi, Tohru Takebe, Toshiyuki Kan, Takeshi Iwatsubo, Taisuke Tomita, Hideaki Natsugari and Tohru FukuyamaBioorg. Med. Chem. Lett., 16, 3813 (2006)
(doi: 10.1016/j.bmcl.2006.04.025)
2004
Stereocontrolled Total Synthesis of (+)-Vincristine

Takeshi Kuboyama, Satoshi Yokoshima, Hidetoshi Tokuyama and Tohru Fukuyama
Proc. Natl. Acad. Sci. USA, 101, 11966 (2004)
(doi: 10.1073/pnas.0401323101)
2003
A Novel Palladium-Catalyzed Coupling of Thiol Esters with 1-Alkynes

Hidetoshi Tokuyama, Tohru Miyazaki, Satoshi Yokoshima and Tohru Fukuyama
Synlett, 1512 (2003)
(doi: 10.1055/s-2003-40861)
Stereocontrolled Total Synthesis of (+)-Vinblastine

Satoshi Yokoshima, Toshihiro Ueda, Satoshi Kobayashi, Ayato Sato, Takeshi Kuboyama, Hidetoshi Tokuyama and Tohru Fukuyama
Pure Appl. Chem., 75, 29 (2003)
(doi: 10.1351/pac200375010029)
2002
Reduction of Ethanethiol Esters to Aldehydes

Hidetoshi Tokuyama, Satoshi Yokoshima, Shao-Cheng Lin, Leping Li and Tohru Fukuyama
Synthesis, 1121 (2002)
(doi: 10.1055/s-2002-31969)
Stereocontrolled Total Synthesis of (+)-Vinblastine

Satoshi Yokoshima, Toshihiro Ueda, Satoshi Kobayashi, Ayato Sato, Takeshi Kuboyama, Hidetoshi Tokuyama and Tohru Fukuyama
J. Am. Chem. Soc., 124, 2137 (2002)
(doi: 10.1021/ja0177049)
A Novel Conversion of α-Aminonitrile to Amide

Satoshi Yokoshima, Tetsuji Kubo, Hidetoshi Tokuyama and Tohru Fukuyama
Chem. Lett., 122 (2002)
(doi: 10.1246/cl.2002.122)
2001
Dogger Bank Itch revisited: isolation of (2-hydroxyethyl) dimethylsulfoxonium chloride as a cytotoxic constituent from the marine sponge Theonella aff. Mirabilis
Kaoru Warabi, Yoichi Nakao, Shigeki Matsunaga, Tohru Fukuyama, Toshiyuki Kan, Satoshi Yokoshima, Nobuhiro FusetaniComparative Biochemistry and Physiology Part B, 128, 27 (2001)
(doi: 10.1016/S1096-4959(00)00316-X)
2000
Enantioselective Total Synthesis of (+)-Gelsemine: Determination of Its Absolute Configuration

Satoshi Yokoshima, Hidetoshi Tokuyama and Tohru Fukuyama
Angew. Chem. Int. Ed., 39, 4073 (2000)
(doi: 10.1002/1521-3773(20001117)39:22<4073::AID-ANIE4073>3.0.CO;2-V)
1998
Facile Palladium-Mediated Conversion of Ethanethiol Esters to Aldehydes and Ketones

Hidetoshi Tokuyama, Satoshi Yokoshima, Tohru Yamashita, Shao-Cheng Lin, Leping Li, Tohru Fukuyama
J. Braz. Chem. Soc., 9, 381 (1998)
(doi: 10.1590/S0103-50531998000400011)
A Novel Ketone Synthesis by a Palladium-Catalyzed Reaction of Thiol Esters and Organozinc Reagents

Hidetoshi Tokuyama, Satoshi Yokoshima, Tohru Yamashita and Tohru Fukuyama
Tetrahedron Lett., 39, 3189 (1998)
(doi: 10.1016/S0040-4039(98)00456-0)
福山透 前特任教授(前分野長)の論文リストはこちらをご覧ください。
